JEE Mains Maths Syllabus

Knowing the JEE Mains Maths Syllabus will help students in studying in an organised way. Also, the question paper is designed in accordance with the Syllabus. If students study by following the syllabus, then they will easily score high marks in the exam.

Unit 1 : SETS, RELATIONS AND FUNCTIONS

Sets and their representation; Union, intersection and complement of sets and  their algebraic properties; Power set; Relations, type of relations, equivalence  relations, functions; one-one, into and onto functions, the composition of  functions.

Unit 2 : COMPLEX NUMBERS AND QUADRATIC EQUATIONS

Complex numbers as ordered pairs of reals, Representation of complex numbers  in the form a + ib and their representation in a plane, Argand diagram, algebra of  complex numbers, modulus and argument (or amplitude) of a complex number,  Quadratic equations in real and complex number systems and their solutions;  Relations between roots and coefficients, nature of roots, the formation of  quadratic equations with given roots.

Unit 3 : MATRICES AND DETERMINANTS

Matrices, algebra of matrices, type of matrices, determinants and matrices of  order two and three, evaluation of determinants, area of triangles using  determinants; Adjoint and inverse of a square matrix; Test of consistency and  solution of simultaneous linear equations in two or three variables using matrices.

Unit 4 : PERMUTATIONS AND COMBINATIONS

The fundamental principle of counting, permutations and combinations; Meaning  of P(n, r) and C(n, r). Simple applications.

Unit 5 : BINOMIAL THEOREM AND ITS SIMPLE APPLICATIONS

Binomial theorem for a positive integral index, general term and middle term and  simple applications.

Unit 6 : SEQUENCE AND SERIES

Arithmetic and Geometric progressions, insertion of arithmetic, geometric means  between two given numbers, Relation between A.M and G.M.

Unit 7 : LIMIT, CONTINUITY AND DIFFERENTIABILITY

Real–valued functions, algebra of functions; polynomial, rational, trigonometric,  logarithmic and exponential functions; inverse functions. Graphs of simple  functions. Limits, continuity and differentiability. Differentiation of the sum,  difference, product and quotient of two functions. Differentiation of  trigonometric, inverse trigonometric, logarithmic, exponential, composite and  implicit functions; derivatives of order upto two, Applications of derivatives:  Rate of change of quantities, monotonic-Increasing and decreasing functions,  Maxima and minima of functions of one variable.

Unit 8 : INTEGRAL CALCULAS

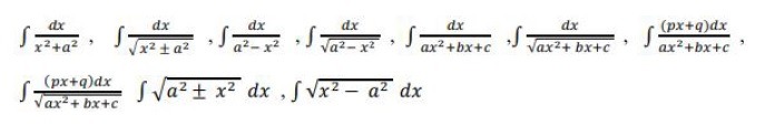
Integral as an anti-derivative, Fundamental integrals involving algebraic,  trigonometric, exponential and logarithmic functions. Integration by substitution,  by parts and by partial fractions. Integration using trigonometric identities.  Evaluation of simple integrals of the type

The fundamental theorem of calculus, properties of definite integrals.  Evaluation of definite integrals, determining areas of the regions bounded by  simple curves by simple curves in standard forms.

Unit 9 : DIFFRENTIAL EQUATIONS

Ordinary differential equations, their order and degree, the solution of differential  equation by the method of separation of variables, solution of a homogeneous  and linear differential equation of the type 

Unit 10 : CO-ORDINATE GEOMETRY

Cartesian system of rectangular coordinates in a plane, distance formula, sections formula, locus and its equation, the slope of a line, parallel and perpendicular lines, intercepts of a line on the co-ordinate axis.
Straight line: Various forms of equations of a line, intersection of lines, angles between two lines, conditions for concurrence of three lines, the distance of a point form a line, co-ordinate of the centroid, orthocentre and circumcentre of a triangle.
Circle, conic sections: A standard form of equations of a circle, the general form of the equation of a circle, its radius and centre, equation of a circle when the endpoints of a diameter are given, points of intersection of a line and a circle with the centre at the origin and sections of conics, equations of conic sections (parabola, ellipse and hyperbola) in standard forms.

Unit 11 : THREE DIMENSIONAL GEOMETRY

Coordinates of a point in space, the distance between two points, section  formula, direction ratios and direction cosines and the angle between two  intersecting lines. Equation of a line; Skew lines, the shortest distance between  them and its equation.

Unit 12 : VECTOR ALGEBRA

Vectors and scalars, the addition of vectors, components of a vector in two  dimensions and three-dimensional spaces, scalar and vector products.

Unit 13 : STATISTICS AND PROBABILITY

Measures of dispersion; calculation of mean, median, mode of grouped and  ungrouped data, calculation of standard deviation, variance and mean  deviation for grouped and ungrouped data. Probability: Probability of an event,  addition and multiplication theorems of probability, Baye's theorem, probability  distribution of a random variable.

Unit 14 : TRIGONOMETRY

Trigonometrical identities and trigonometrical functions, inverse trigonometrical  functions their properties.

CV ACADEMY

MATHS TUITION CENTRE

  • "Best Maths Tuition Centre in Nagercoil, Tamilnadu for 12th Std (CBSE), 12th Std (State Board), 11th Std (CBSE), 11th Std (State Board), 10th Std (CBSE), 10th Std (State Board)" as well as for cracking Maths Paper in JEE Mains and JEE Mains (Advanced).
  • We Offer both Classroom Coaching and Online Coaching.

Why Students Choose us?

Expert Faculty

Classes handled by Revathi Mam, Who is an expert in the field of Mathematics having 10+ years of experience in teaching.

Smart Classroom

We provide Smart class based Classroom facility, thus makes learning more engaging with students understanding concepts better and retain them for longer.

Recorded sessions

Students are also provided with Recorded Sessions for each and every class they attend, with seperate ID created in their name in the CV ACADEMY Classes App, so that they will not miss any of the classes and can clear their doubts instantly or afterwards while making revisions.

Regular Tests

Regular Tests are conducted daily and weekly to evaluate the students performance and make them to score full marks in Maths.

Maths Syllabus (CBSE)

10th Std

Read More

11th Std

Read More

12th Std

Read More

Maths Syllabus (State Board)

10th Std 

(English Medium)

Read More

11th Std 

(English Medium)

Read More

12th Std 

(English Medium)

Read More

10th Std 

(Tamil Medium)

Read More

11th Std 

(Tamil Medium)

Read More

12th Std 

(Tamil Medium)

Read More
OUR LOCATION

Near Vadasery Union Bank, Vadasery Bus Stand, Nagercoil - 629001

CALL US

8072146675

DROP US AN Email

contact@cvacademy.in